Response Surface Demonstration Tool
Interactive response surface modeling demonstration
Description
The Response Surface Demonstration tool provides an interface for interactively investigating response surface methodology (RSM), nonlinear fitting, and the design of experiments.
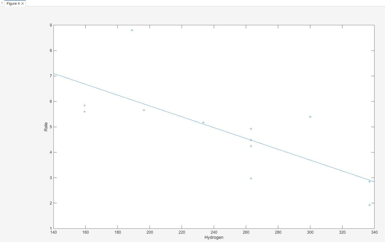
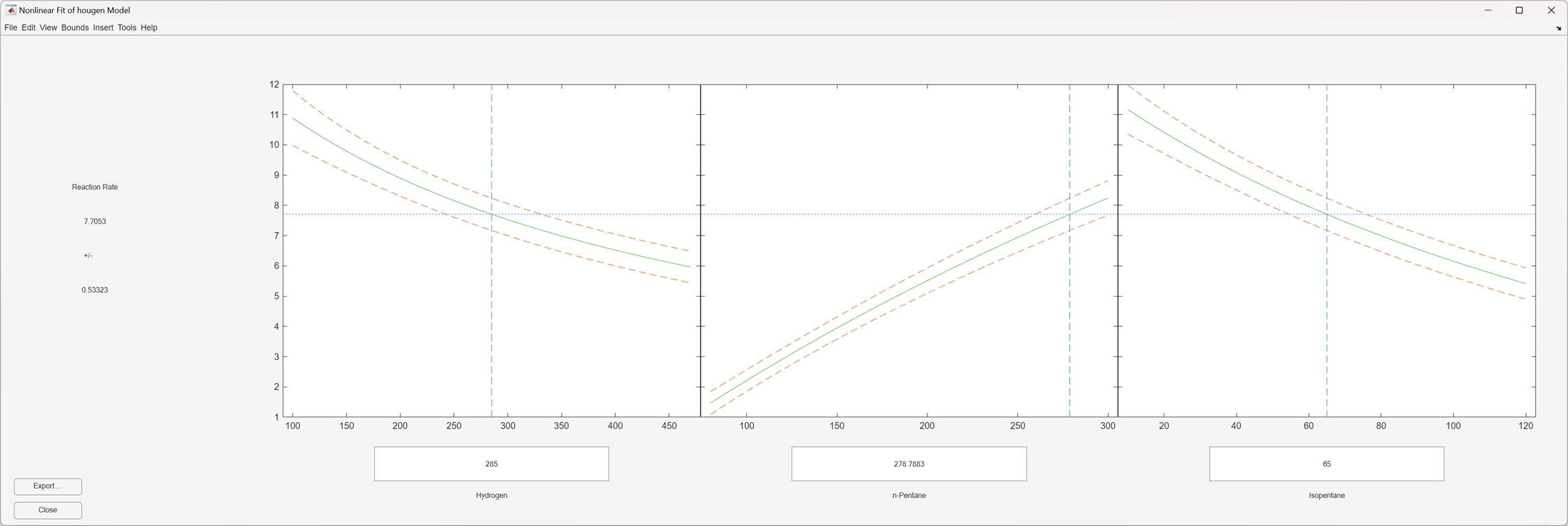
The tool allows you to collect and model data from a simulated chemical reaction. The experimental predictors are the concentrations of three reactants (hydrogen, n-pentane, and isopentane) in pounds per square inch absolute units. The response variable (reaction rate) is simulated by a Hougen-Watson model (Bates and Watts, [1], pp. 271–272):
where rate is the reaction rate; X1, X2, and X3 are the concentrations of hydrogen, n-pentane, and isopentane, respectively; and β1, β2, ..., β5 are fixed parameters. The software perturbs the reaction rate for each combination of reactant concentrations using random errors. You can set reactant concentration combinations manually, or use a set of combinations created using a D-optimal experiment design. For examples, see Manually Adjust Reactant Concentrations and Set Reactant Concentrations Using Experiment Design.
Required Products
MATLAB®
Statistics and Machine Learning Toolbox™
Open the Response Surface Demonstration Tool
At the MATLAB command prompt, enter
rsmdemo.
Examples
References
[1] Bates, D. M., and D. G. Watts. Nonlinear Regression Analysis and Its Applications. Hoboken, NJ: John Wiley & Sons, Inc., 1988.
Version History
Introduced before R2006a






